语言选择:简体 / 繁體 / English

罗欣药业 传递健康

多宝官网招标公告

罗欣药业 传递健康

抗微生物

注射用克林霉素磷酸酯

【规    格】按C18H33ClN2O5S计 (1)0.3g (2)0.6g (3)0.9g (4)1.2g

【包    装】抗生素玻璃瓶;1瓶/盒、5瓶/盒、10瓶/盒、20瓶/盒。

【单   位】瓶

【批准文号】(1)0.3g 国药准字H20113197 (2)0.6g 国药准字H20113198

                    (3)0.9g 国药准字H20113199 (4)1.2g 国药准字H20113200

 


分享:
  • 药品介绍
  • 适应症
  • 用法用量



警告:

    本品与林可霉素、克林霉素有交叉耐药性,对克林霉素或林可霉素有过敏史者禁用。禁与氨苄青霉素、苯妥英钠、巴比妥盐、氨茶碱、葡萄糖酸钙及硫酸镁配伍;与红霉素呈拮抗作用,不宜合用。

    在几乎所有抗生素(包括克林霉素磷酸酯)的使用中都有过艰难梭状芽孢杆菌相关性腹泻(CDAD)的报道,它可能导致轻微的腹泻直至危及生命的结肠炎。抗菌药物的使用改变了肠道的正常菌群,导致艰难梭状芽胞杆菌的过度生长。因为克林霉素磷酸酯可能和严重危及生命的结肠炎有关,所以只有严重感染且没有合适的抗微生物药物时才使用它。如果是非细菌感染,比如大多数的上呼吸道感染,则不使用本品。艰难梭状芽胞杆菌产生毒素A和B,它们在CDAD中起重要作用。所有使用抗生素且出现腹泻的患者都必须考虑是否为CDAD。因为在使用抗菌药物2个月后还有发生CDAD的情况,所以详细询问病人的病史是非常必要的。

    如果怀疑或者确诊是CDAD,那么正在使用的且不是针对艰难梭状芽胞杆菌的药物均须停用。根据临床需要,可采取适当的输液和电解质治疗、补充蛋白质、针对艰难梭状芽胞杆菌的抗生素以及外科措施。

【药品名称】

    通用名称:注射用克林霉素磷酸酯

    英文名称:Clindamycin Phosphate for Injection

    汉语拼音:Zhusheyong Kelinmeisu Linsuanzhi

【成    份】

    本品主要成份为克林霉素磷酸酯,辅料为依地酸二钠。

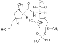
    化学名称:(2S-反式)-6-(1-甲基-4-丙基-2-吡咯烷碳酰胺基)-1-硫代-甲基-7-氯-6,7,8-三脱氧-L-苏式-α-D-半乳糖吡喃糖苷-2-二氢磷酸酯。

    化学结构式:

       image.png 

    分子式:C18H34ClN2O8PS

    分子量:504.97

【性    状】

    本品为白色或类白色的疏松块状物或粉末(无菌冻干品)或白色结晶性粉末(溶媒结晶型无菌分装品)。

【适 应 症】

    本品用于治疗敏感厌氧菌引起的严重细菌感染,也用于敏感菌,包括链球菌、肺炎链球菌、葡萄球菌引起的严重细菌感染。只有青霉素过敏的患者或医生认为不能使用青霉素的患者才能使用本品。鉴于抗生素有引起伪膜性结肠炎的风险,在选择克林霉素前,医生应考虑感染的性质和低毒性产品(如红霉素)代替本品的合理性。

    应当开展细菌学研究以证明致病病原体以及它们对克林霉素的敏感程度。在某些情况下,实施抗生素疗法的同时可根据临床情况采取外科治疗。

    本品用于治疗敏感菌引起的下列严重感染:

    下呼吸道感染,包括厌氧菌、金黄色葡萄球菌、肺炎链球菌、其它链球菌(粪肠球菌除外)及金黄葡萄球菌引起的肺炎,脓胸,肺脓疡。

    化脓性链球菌、金黄色葡萄球菌、厌氧菌引起的皮肤和皮肤软组织感染。

    敏感厌氧菌感染引起的妇科感染,包括子宫内膜炎、非淋球菌性输卵管卵巢脓肿、盆腔蜂窝组织炎、术后阴道切口感染。

    敏感厌氧菌引起的腹腔内感染,包括腹膜炎和腹内脓肿。

    金黄色葡萄球菌、链球菌(除肠球菌)、敏感厌氧菌引起的败血症。

    金黄色葡萄球菌引起的包括急性血源性骨髓炎在内的骨和关节感染,作为敏感微生物引起的慢性骨和关节感染的手术治疗的辅助治疗。

    为了减少耐药细菌的产生,维持克林霉素磷酸酯和其它抗生素的药效,克林霉素磷酸酯只能用于治疗或者预防已被证明或者非常怀疑的细菌感染。如果能获得细菌培养和敏感度的信息,应当在调整治疗方案时予以考虑。如果缺乏这些数据,当地流行病学和细菌敏感信息应当予以考虑。

【规    格】按C18H33ClN2O5S计 (1)0.3g (2)0.6g (3)0.9g (4)1.2g

【用法用量】

    1.成人:深部肌内注射或静脉滴注给药。

    中度感染:0.6~1.2g/日,分2~3次给药;严重感染:1.2~2.7g/日,分2~3次给药;或遵医嘱。

    2.儿童:肌内注射或静脉滴注给药。

    中度感染:15~25mg/kg/日,分3或4次给药;重度感染:25~40mg/kg/日,分3或4次给药;或遵医嘱。

    肌内注射需将本品用生理盐水配制成50mg/ml~150mg/ml澄明液体并即时使用。

    静脉滴注需将本品0.6g用100~200ml生理盐水或5%葡萄糖稀释成≤6mg/ml的药液,静脉滴注30分钟。

【不良反应】

    国外文献显示,克林霉素磷酸酯注射剂不良反应情况如下:

  1.胃肠道反应:常见恶心、呕吐、腹痛、腹泻等;严重者有腹部绞痛、腹部压痛、严重腹泻(水样或脓血样),伴发热、异常口渴和疲乏(假膜性肠炎)。腹泻、肠炎和假膜性肠炎可发生在用药初期,也可发生在停药后数周。

  2.血液系统:偶可发生白细胞减少、中性粒细胞减少、嗜酸性粒细胞增多和血小板减少等;罕见再生障碍性贫血。

  3.过敏反应:可见皮疹、瘙痒等,偶见荨麻疹、血管性水肿和血清病反应等,罕见剥脱性皮炎、大疱性皮炎、多形性红斑和Steven-Johnson综合征。

  4.肝、肾功能异常,如血清氨基转移酶升高、黄疸等。

       5.静脉滴注可能引起静脉炎;肌内注射局部可能出现疼痛、硬结和无菌性脓肿。

       6.肌肉和骨骼:曾有罕见的关节炎报道。

       7.心血管:曾有罕见的快速静脉注射引发心、肺功能停止和低血压的报道。

  8.其他:耳鸣、眩晕、念珠菌感染等。

    国内克林霉素磷酸酯和盐酸克林霉素注射剂的不良反应报道有使用本品可能引起肾功能损害和血尿,另有极少数严重病例出现的不良反应包括呼吸困难、过敏性休克、急性肾功能衰竭、过敏性紫癜、抽搐、肝功能异常、胸闷、心悸、寒战、高热、头晕、低血压、耳鸣、听力下降等。

【禁    忌】

    本品与林可霉素、克林霉素有交叉耐药性,对克林霉素或林可霉素有过敏史者禁用。

    由于克林霉素不扩散到脑脊液中,本品不能用于脑膜炎治疗。

【注意事项】

    1. 禁与氨苄青霉素、苯妥英钠、巴比妥盐、氨茶碱、葡萄糖酸钙及硫酸镁配伍。

    2. 肝、肾功能损害者及小于4岁儿童慎用。孕妇及哺乳期妇女慎用。有胃肠道疾病史,特别是结肠炎史患者慎用。过敏体质患者慎用。

    3. 迄今为止的经验表明,重症疾病的老年患者对腹泻的耐受性较差。当克林霉素用于这些患者时,应当仔细监测排便频率的变化。

    4. 克林霉素磷酸酯的使用可能导致非敏感菌过度生长——尤其是酵母菌。一旦发生二重感染,应根据临床情况采取相应的措施。

    5. 严重过敏性反应需要用肾上腺素立即紧急治疗,如果需要可采取吸氧和静脉给于糖皮质激素治疗。

    6. 在不能完全证明或者非常怀疑细菌感染时,应用克林霉素磷酸酯有可能不会对患者产生有益的效果,并且增加了耐药细菌生长的可能。

患者须知

    患者应了解包括克林霉素磷酸酯在内的抗菌药物只能用于细菌感染,它们不应当用于治疗病毒感染(比如感冒)。当克林霉素磷酸酯治疗某细菌感染时,患者应被告知尽管在治疗过程中感觉良好,仍应该准时用药。漏用药或者没有完成整个疗程可能导致(1)降低迅速治疗的益处和(2)增加细菌产生耐药性的机会,有可能无法被本品或其他抗生素治愈。

    腹泻是抗生素引起的一个普遍问题,而停药时通常也会消失。有时在开始抗生素治疗时,患者可能出现水样便或血便(同时伴有或不伴有胃绞痛和发热),甚至在最后一次服用抗生素2个月后或更长时间里出现。如果发生这种情况,患者应尽快联系医生。

实验室检查

    在延长治疗期间应监测肝、肾功能、血液计数情况。

【孕妇及哺乳期妇女用药】大鼠和小鼠口服克林霉素600 mg/kg/day(以体表面积计,分别是成人推荐最高剂量的2.1倍和1.1倍),或者皮下注射克林霉素250 mg/kg/day(以体表面积计,分别是成人推荐最高剂量的0.9倍和0.5倍)没有发现致畸作用。然而没有在怀孕妇女中进行足够的对照研究,因为动物生殖研究不总是能预测人的情况,该药只有在确实需要时才用于孕妇。

    据报道口服150mg或者静脉注射600mg克林霉素,能在乳汁中检测到0.7到3.8 µg/mL本品。由于克林霉素对于新生儿的副作用,综合考虑应当停止用药。

【儿童用药】小于4岁的儿童慎用。

    当克林霉素磷酸酯注射液应用于儿童(出生到16岁)时,适当的器官功能监测是非常必要的。

【老年用药】克林霉素的临床研究没有足够的超过65岁以上的病例,无法证明他们对于药物的反应与年轻人有何不同。然而其他报道的临床经验表明,在大多数抗生素使用时发生的与抗生素相关的结肠炎和腹泻(艰难梭状杆菌引起)在老年(>60岁)人中更加频发也更严重。这些患者应当监测腹泻的情况。

    克林霉素的药代动力学研究表明,年轻人和肝功能及肾功能(随年龄调节)正常的老年人口服或静脉用药后没有明显的不同。

【药物相互作用】克林霉素已被证明有神经肌肉阻滞作用,这有可能增强其他神经肌肉阻滞剂的效果。因此与这类药物合用应慎重。

红霉素和克林霉素被证明有体外拮抗作用。鉴于临床意义的可能性,这两种药物不应该合用。

【药物过量】小鼠静脉注射855mg/kg,大鼠口服或皮下用药大约2618mg/kg,观察到显著的死亡率。在小鼠可观察到惊厥和抑郁。

    血液和腹膜透析对于清除血液中克林霉素没有帮助。

【药理毒理】

    药理作用:

    克林霉素磷酸酯为化学合成的克林霉素衍生物,它在体外无抗菌活性,进入机体迅速水解为克林霉素发挥抗菌活性,作用机制为与核糖体50S亚基结合而抑制细菌蛋白质的合成。

    体外试验表明,克林霉素对以下微生物有活性:

    需氧革兰阳性球菌:

    金黄色葡萄球菌和表皮葡萄球状菌(均包括产青霉素酶和不产青霉素酶的菌株)、链球菌(肠球菌除外)、肺炎球菌。

    厌氧革兰阴性杆菌属:

    拟杆菌属(含脆弱拟杆菌组和产黑素拟杆菌组)和梭杆菌。

    厌氧革兰阳性不产芽孢杆菌属:

    丙酸杆菌属、真杆菌属和放线菌属。

    厌氧和微需氧的革兰阳性杆菌属:

    消化球菌属、微需氧链球菌和消化链球菌属。

    毒理研究:

    长期毒性:SD大鼠和Beagle犬连续1年经口给予克林霉素300mg/kg/d(以体表面积计,分别相当于成人推荐最高剂量的1.1倍和3.6倍),结果克林霉素可被很好的耐受,与对照组相比未见明显的病理改变。大鼠连续6个月给予600mg/kg/d(以体表面积计,相当于成人推荐最高剂量的2.1倍),能被很好的耐受。但给予犬相同剂量(以体表面积计,相当于成人推荐最高剂量的7.2倍)时则出现呕吐、不进食和体重减轻。

    遗传毒性:Ames试验和大鼠微核试验结果均为阴性。

    生殖毒性:大鼠经口给予本品剂量为300mg/kg/d(以体表面积计,相当于成人推荐最高剂量的1.1倍),未对动物的交配和生育力有影响。大鼠和小鼠分别经口给予克林霉素剂量高达600mg/kg/d或皮下注射剂量0.25mg/kg/d,结果未见有致畸胎作用。然而,尚未对妊娠妇女进行充分和严格的临床研究,动物的生殖研究并不能完全预测人类的反应。

    致癌性:在动物上尚未进行长期致癌潜在性研究。

【药代动力学】

    克林霉素磷酸酯进入机体后,在血液中碱性磷酸酯酶作用下很快水解为克林霉素。正常人的药代动力学表明:单次静脉滴注0.6g克林霉素磷酸酯,血液中克林霉素立即达高峰,浓度为11.09±2.02mg/L,8小时血药浓度为1.69±0.35mg/L。单次肌注0.6g,血液中克林霉素1~2小时达高峰,浓度为5.92±1.45mg/L,8小时血浓度为2.51±0.91mg/L,有效血浓度可维持8小时以上。克林霉素磷酸酯给药后,主要在肝内代谢,并经胆汁和粪便排泄。每6小时静脉滴注0.6g,胆汁中浓度可达48~55mg/L,部分经尿排泄。静脉滴注和肌内注射0.6g,8小时排泄率分别为11.72±1.33%和10.51±2.68%。

【贮    藏】遮光、密闭,在阴凉处(不超过20℃)保存。

【包    装】抗生素玻璃瓶;1瓶/盒、5瓶/盒、10瓶/盒、20瓶/盒。

【有 效 期】24个月。

【执行标准】WS1-(X-358)-2003Z-2011-2017

【批准文号】(1)0.3g 国药准字H20113197 (2)0.6g 国药准字H20113198

            (3)0.9g 国药准字H20113199 (4)1.2g 国药准字H20113200

【生产企业】

    企业名称:多宝官网

    生产地址:山东省临沂高新技术产业开发区罗七路

    邮政编码:276017

    电话号码:0539-8257899  8481991

    传真号码:0539-8481990

    售后服务:0539-8242699

    网    址:www.totobook1.com

 

  

 


    本品用于治疗敏感厌氧菌引起的严重细菌感染,也用于敏感菌,包括链球菌、肺炎链球菌、葡萄球菌引起的严重细菌感染。只有青霉素过敏的患者或医生认为不能使用青霉素的患者才能使用本品。鉴于抗生素有引起伪膜性结肠炎的风险,在选择克林霉素前,医生应考虑感染的性质和低毒性产品(如红霉素)代替本品的合理性。

    应当开展细菌学研究以证明致病病原体以及它们对克林霉素的敏感程度。在某些情况下,实施抗生素疗法的同时可根据临床情况采取外科治疗。

    本品用于治疗敏感菌引起的下列严重感染:

    下呼吸道感染,包括厌氧菌、金黄色葡萄球菌、肺炎链球菌、其它链球菌(粪肠球菌除外)及金黄葡萄球菌引起的肺炎,脓胸,肺脓疡。

    化脓性链球菌、金黄色葡萄球菌、厌氧菌引起的皮肤和皮肤软组织感染。

    敏感厌氧菌感染引起的妇科感染,包括子宫内膜炎、非淋球菌性输卵管卵巢脓肿、盆腔蜂窝组织炎、术后阴道切口感染。

    敏感厌氧菌引起的腹腔内感染,包括腹膜炎和腹内脓肿。

    金黄色葡萄球菌、链球菌(除肠球菌)、敏感厌氧菌引起的败血症。

    金黄色葡萄球菌引起的包括急性血源性骨髓炎在内的骨和关节感染,作为敏感微生物引起的慢性骨和关节感染的手术治疗的辅助治疗。

    为了减少耐药细菌的产生,维持克林霉素磷酸酯和其它抗生素的药效,克林霉素磷酸酯只能用于治疗或者预防已被证明或者非常怀疑的细菌感染。如果能获得细菌培养和敏感度的信息,应当在调整治疗方案时予以考虑。如果缺乏这些数据,当地流行病学和细菌敏感信息应当予以考虑。


    1.成人:深部肌内注射或静脉滴注给药。

    中度感染:0.6~1.2g/日,分2~3次给药;严重感染:1.2~2.7g/日,分2~3次给药;或遵医嘱。

    2.儿童:肌内注射或静脉滴注给药。

    中度感染:15~25mg/kg/日,分3或4次给药;重度感染:25~40mg/kg/日,分3或4次给药;或遵医嘱。

    肌内注射需将本品用生理盐水配制成50mg/ml~150mg/ml澄明液体并即时使用。

    静脉滴注需将本品0.6g用100~200ml生理盐水或5%葡萄糖稀释成≤6mg/ml的药液,静脉滴注30分钟。